Physiology Friday #291: How Circadian Rhythms and Sleep Consistency Shape Cardiorespiratory Fitness
A new study shows that engaging in four simple behaviors each day can lead to meaningful changes in physiology.
Greetings!
Welcome to the Physiology Friday newsletter.
Details about the sponsors of this newsletter, including Ketone-IQ, Create creatine, and my book “VO2 Max Essentials,” can be found at the end of the post. You can find more products I’m affiliated with on my website.
Think about what you mean when you say you want to improve your sleep. The answer almost always focuses on sleeping more, rarely on when.
But research increasingly shows that sleep consistency (going to bed and waking up at roughly the same times every day) may be just as important as total sleep duration, if not more. Irregular sleep patterns throw off the body’s circadian rhythm, disrupting hormones, metabolism, and recovery processes that depend on a stable internal clock. And all of that comes from a consistent schedule.
Consistency, in my opinion, hasn’t been given enough credit as a health lever. It’s what gives the circadian system its power. When daily behaviors like light exposure, meals, exercise, and rest (which are collectively known as zeitgebers or “time-givers” in the science literature) occur at predictable times, the body’s biological rhythms synchronize. That allows the heart, brain, and mitochondria to work in unison. It also lowers long-term disease risk.
The problem is that few people actively train their sleep timing with the same discipline they apply to diet or exercise.
That’s what makes a new study so compelling to me: it shows that by aligning just a few key behaviors with your internal clock, you can strengthen sleep consistency and, in turn, measurably improve cardiorespiratory fitness and recovery—all without changing total sleep time (or even improving exercise habits).1
The study drew data from 38,838 adults participating in the WHOOP “Core Four Challenge,” a month-long behavioral intervention designed to test how four simple, circadian-aligned habits influence sleep, recovery, and cardiorespiratory fitness. The challenge ran for 31 days, during which participants wore their WHOOP device continuously and were encouraged to practice four specific behaviors daily, each chosen for its impact on circadian timing and recovery physiology. These included:
Morning sunlight exposure: Spend 10–20 minutes outdoors within an hour of waking, ideally without sunglasses.
Time-restricted eating: Consume all meals within a 12-hour window or less, finishing at least three hours before bedtime.
Zone 2 training: Engage in moderate-intensity aerobic exercise (60–70% of max heart rate) for 30–45 minutes at least three times per week.
Daily breathwork: Spend roughly 5 minutes on slow, controlled breathing to lower sympathetic tone and promote parasympathetic (vagal) activation.
Participants tracked their daily adherence through the WHOOP app, which timestamped behavioral entries and synced them with the physiological data.
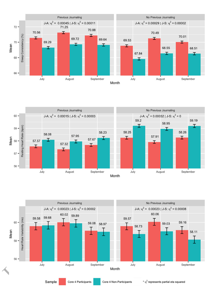
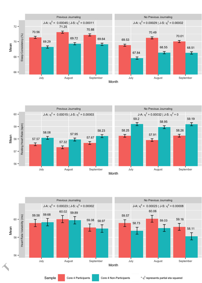
To quantify the effect of the challenge, researchers compared pre–post changes in sleep (duration and consistency) and physiological metrics (resting heart rate and heart rate variability or HRV) between participants and controls (who didn’t engage in the core behaviors) over the 31-day period and in the month following the intervention to test lasting effects.
One of the most novel (and important) aspects of this study was the inclusion of a mediation analysis to test whether improvements in sleep consistency explained the observed changes in resting heart rate (which they define here as “cardiorespiratory fitness”) and HRV, allowing insight into how circadian-aligned behaviors improve cardiorespiratory health directly or indirectly through better sleep regularity. Pretty neat.
Across the board, engagement with the four target behaviors increased during the challenge. Compared to controls, participants increased their adherence to all four habits. About 60% of participants practiced time-restricted eating, nearly 57% got morning sunlight exposure, while close to half performed zone 2 training, and more than 40% engaged in breathwork regularly.
The primary outcome (sleep consistency) improved substantially. Compared to the control group, participants demonstrated significantly greater regularity in their sleep timing despite no changes in sleep duration. This effect was strongest among individuals who adhered to multiple behaviors simultaneously—for instance, those who paired early morning sunlight with earlier meal timing or added evening breathwork. Layering circadian behaviors amplified their effect on sleep regulation, even though each individual behavior was independently beneficial. The researchers also noted that participants’ social jetlag (the mismatch between sleep patterns on workdays versus weekends) decreased (improved) during the challenge.

These improvements in sleep translated to measurable physiological changes indicative of better cardiovascular health and recovery. Participants’ resting heart rate declined, while HRV increased. What’s even more interesting is that sleep consistency emerged as a key mediator between the behavioral changes and physiological benefits.
In other words, it wasn’t simply that people who did zone 2 training or breathwork got fitter; rather, these habits improved sleep regularity, and that consistency in turn improved their cardiovascular markers. The pathway went from behavior to better sleep to better fitness and recovery.
The takeaway from this study is one that I’ve consistently repeated throughout my writing on health topics—when we move, eat, and expose ourselves to light can be just as important as what we do. The “core four” behaviors in the study aren’t random lifestyle tips. Each one influences our body’s internal clock. And when these behaviors are aligned, it strengthens the amplitude of the circadian rhythm. In turn, a strong rhythm acts like a metronome for physiology: it helps hormones, temperature, and nervous system activity rise and fall predictably across 24 hours. That predictability allows the cardiovascular and metabolic systems to operate more efficiently, reducing physiological noise and stress.
What’s fascinating is that the physiological gains in this study (better “fitness” and improved recovery as indicated by a lower heart rate and higher HRV) came through the indirect pathway of better circadian alignment and more consistent sleep timing—not necessarily a more robust exercise program. In essence, the behaviors were acting as a form of “circadian conditioning.”
This may explain why the physiological improvements persisted even after the 31-day challenge ended. Once the body’s internal clocks were better synchronized, sleep and recovery probably became easier to maintain without requiring additional conscious effort. In the month after the intervention ended, many of the participants continued logging behaviors, and the changes in their heart rate and HRV were still observable.
The deeper (and speculative) insight is that circadian alignment itself may be a driver of cardiorespiratory fitness. And the application is that even if you’re currently doing everything you can to directly improve fitness (regular endurance and strength training and dialing in your nutrition), you can squeeze out marginal gains by targeting sleep consistency. Think of it as “free lunch.”
I’ll admit that I’m far from perfect when it comes to getting to bed and waking up at the same time each day—life (my son) intervenes. But one thing I’ve consistently focused on in the last few years is doing the same things consistently—especially eating and exercising. It’s not just habitually easier, but as this study shows, it’s likely benefiting my physiology and wellness too.
Thanks for reading. See you next Friday.
~Brady~
The VO2 Max Essentials eBook is your comprehensive guide to aerobic fitness, how to improve it, and its importance for health, performance, and longevity. Get your copy today and use code SUBSTACK20 at checkout for a 20% discount. You can also grab the Kindle eBook, paperback, or hardcover version on Amazon.
Ketone-IQ is high-performance energy in a bottle. I use it for post-exercise recovery along with enhancing focus, mood, and cognition. Take 30% off your order.
Create is the first “modern creatine” brand. They sell a wide range of creatine monohydrate gummies—and yeah, their gummies actually contain creatine, unlike some other brands. They’re giving my audience 25% off their order until Sunday (October 26th). So stock up!
Kristen Holmes, Jeongeun Kim, Finnbarr Fielding, Jamie Zeitzer, William von Hippel, Four Core Circadian Behaviors That Improve Cardiorespiratory Fitness Through Consistent Sleep, Sleep, 2025; zsaf318, https://doi.org/10.1093/sleep/zsaf318








To quote the great Jumbo Elliott's wisdom from a long, long time ago: "Live like a clock."
As someone who spent the better part of 30 years in a career based on rapid rotating shiftwork schedules, this hits the mark. When I retired, the simple fact of going to bed and waking up at roughly the same time every day boosted my athletic performance across the board.